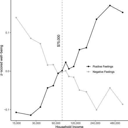
Previous studies have indicated that Americans’ quality of life plateaus at an annual salary of $75,000, but that myth has been dispelled. A research article in the Proceedings of the National Academy of Sciences of the United States of America entitled, “Experienced well-being rises with income, even above $75,000 per year” examines 1,725,994 experience-sampling reports from 33,391 employed US adults. The study believes prior reports failed to accurately measure “well-being” and the actual emotional implications of income.
Numerous reports begin by analyzing the Satisfaction With Life Scale developed in 1985:
- In most ways my life is close to my ideal.
- The conditions of my life are excellent.
- I am satisfied with my life.
- So far I have gotten the important things I want in life.
- If I could live my life over, I would change almost nothing.
The noted study incorporated these questions as well as others such as, “To what extent do you feel in control of your current situation?” The test also asked participants for their input on optimism for the future. The study found that the well-being plateau of $75,000 was no longer accurate. “There was also no evidence of an income threshold at which experienced and evaluative well-being diverged, suggesting that higher incomes are associated with both feeling better day-to-day and being more satisfied with life overall,” the abstract stated. “This suggests that higher incomes may still have potential to improve people’s day-to-day well-being, rather than having already reached a plateau for many people in wealthy countries.”
With inflation running at a nearly 40-year high and the prices of the most basic necessities such as food and shelter at unsustainable levels, people seeing money as a safety net is understandable. Personal Capital’s 2022 Wealth & Wellness Index found that Americans need an income of $122,000 to feel “financially healthy.” Only 9% of Americans and 31% of households earn over six-figures, so this annual income is not feasible for the majority of the population. Only 67% of participants said they have enough money to pay bills in full and on time. Around 57% say they have some form of retirement savings could manage an unforeseen expense of $500 without worry, and that figure only rises to 63% when asked if they could afford a $100 unforeseen expense. Despite previous notions, there is in fact a correlation between wealth and wellness.

